Skip to content

Varieties

David Chen edited this page Aug 15, 2018 · 3 revisions

Crop Varieties

[[TOC]]

Description

It is possible to simulate different crop cultivars with LPJmL for wheat and rapeseed (spring and winter cultivar), as well as for maize and sunflower (temperate and tropical cultivar) by varying the phenological heat units (Phu) and/or the base temperature which determines the length of the growing period[1].

Details

Crop Base temperature Phenological heat units
Spring Wheat 0°C 1000°Cd-2700°Cd depending on mean temperature
Spring Rapeseed 0°C 1000°Cd-2700°Cd depending on mean temperature
Winter Wheat 0°C 1700°Cd-2900°Cd depending on sowing day
Winter Rapeseed 0°C 2100°Cd-3300°Cd depending on sowing day
Sunflower 6°C 1000°Cd-1600°Cd depending on mean temperature
Maize 5°C-15°C depending on mean temperature 1600°Cd

Wheat and Rapeseed

A winter cultivar is grown if the winter is not too long and this condition is defined in calc_seasonality.c as:

  • northern hemisphere: winter wheat if daily temperatures fall below 12°C (temp_fall) after day 258 (sdatenh)
  • southern hemisphere: winter wheat if daily temperature fall below 12°C after day 90 (sdatesh)
  • northern hemisphere: winter rapeseed if daily temperatures fall below 17°C (temp_fall) after day 241 (sdatenh)
  • southern hemisphere: winter rapeseed if daily temperatures fall below 17°C after day 61 (sdatesh)

Phu is calculated:

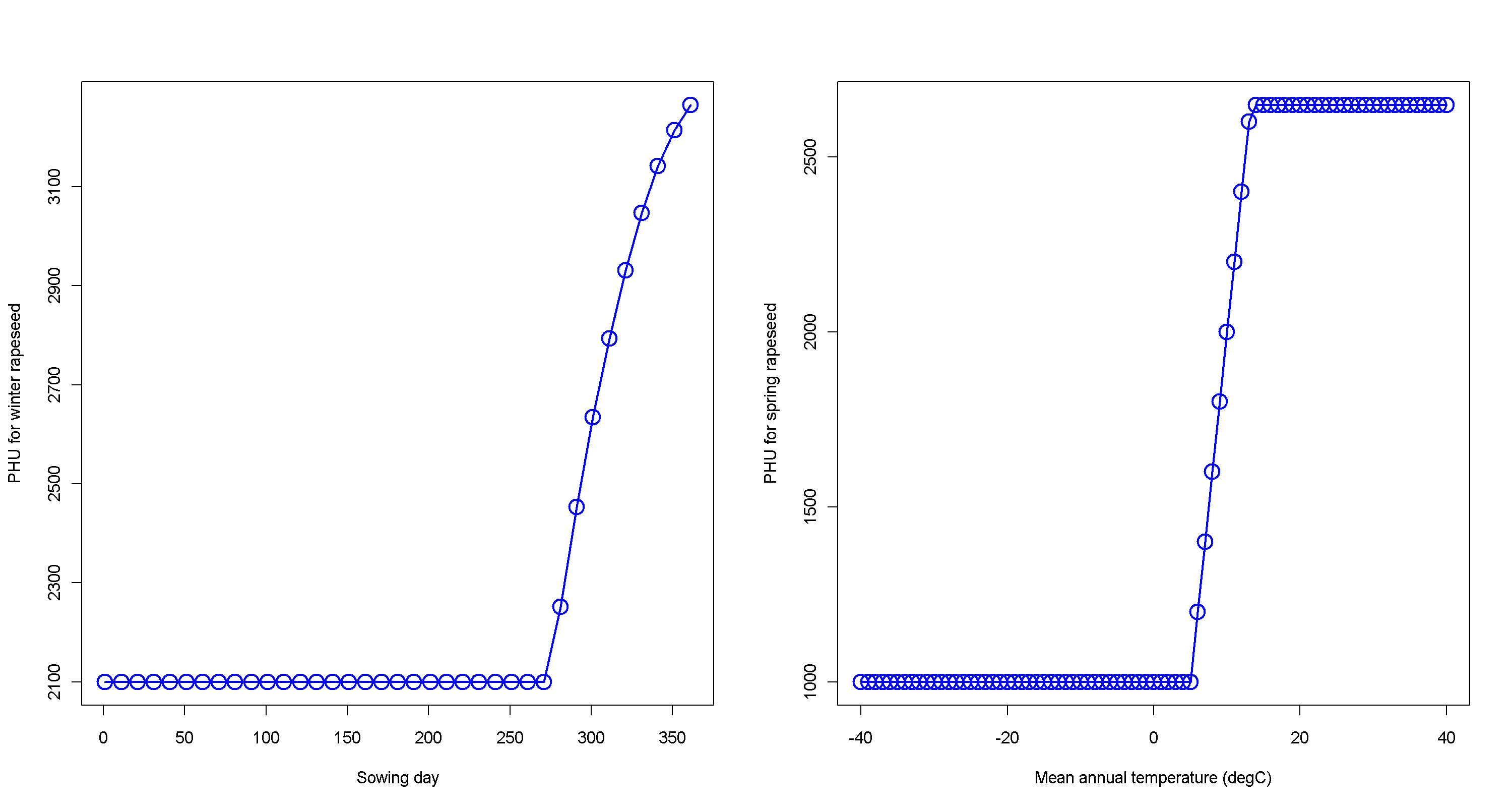
  • for winter wheat/rapeseed (Fig1 and 2, left panel and phen_variety.c)

with

keyday = 0 (lat>=0)
keyday = 365 (lat<0)

and

Crop PHU_low PHU_high
wheat 1700.0 2876.9
rapeseed 2100.0 3279.7
  • for spring wheat/rapeseed (Fig1 and 2, right panel and phen_variety.c)

where TB is the base temperature (0°C) and TA20 is the 20-year mean annual temperature

and

Crop PHU_low PHU_high
wheat 1000.0 2648.4
rapeseed 1000.0 2648.4

Figure 1: Phenological heat units for wheat calculated from left) sowing day for winter wheat and, right) 20-years mean annual temperature for spring wheat.

Figure 2: Phenological heat units for rapeseed calculated from left) sowing day for winter rapeseed and, right) 20-years mean annual temperature for spring rapeseed.

Sunflower

PHU is calculated (Fig.3) as:

with *Tvalue = 6°C

Figure 3: PHU for sunflower calculated from 20-years mean annual temperature.

Maize

Distinguish between a tropical and a temperate cultivar with different base temperatures depending on the mean annual temperature (Fig4).

with *Tvalue = 5°C, *Tvalue,min = 15°C and *Tvalue,diff = 3°C.

Figure 4: Base temperature for maize calculated from 20-years mean annual temperature.

Technical Note

par/pft.par set cultivar-specific parameters for wheat and rapeseed
set cultivar-specific parameters for maize (base temperature) and sunflower (PHU)
TEMP_WTYP_CALC_SDATE calculate sowing date depending on cultivar type
crop/phenology_crop.c set different hlimit for spring and winter cultivars
crop/phen_variety.c set crop~~phu and crop~~>pvd for spring and winter cultivars
crop/calc_seasonality.c calculate sowing month for spring and winter cultivars
crop/sowing_season.c calculate sowing date for spring and winter cultivars

See Also

Crop functional types, Sowing dates

References

  1. Bondeau, A., Smith, P.C., Zaehle, S., Schaphoff, S., Lucht, W., Cramer, W., Gerten, D., Lotze-Campen, H., Müller, C., Reichstein, M.,Smith, B., 2007. Modelling the role of agriculture for the 20th century global terrestrial carbon balance. Global Change Biology. 13, 679-706.

Clone this wiki locally